近日,av网站
超硬材料国家重点实验室刘冰冰教授、李全军教授团队与北京大学彭海琳教授合作在“压力调控平带超导”研究中获得新进展。相关研究以“Tuning the Flat Band in Bi2O2Se by Pressure to Induce Superconductivity”为题,于2024年3月6日发表在《美国化学会志》上。
魔角石墨烯中呈现出的平带电子结构及超导电性,引发了人们对平带超导研究的新热潮。目前,相关平带超导的实验研究仍主要局限于由单层材料堆叠而成的二维摩尔系统中。然而,具有特定堆叠角度的大面积、高均匀性的少层/多层二维材料摩尔系统的构建仍然是一个巨大的挑战,极大地限制了平带超导在实验研究方面的进展。寻找新的平带超导研究途径对该领域的发展具有重要的科学意义。实现平带超导电性的一个关键因素是在费米能级附近或费米能级上出现电子平带。目前,理论和实验上已经发现多种具有平带电子结构的材料,如何通过调控手段将平带移至费米能级附近成为构建平带超导体系的关键。压力(压强)不仅能够有效调控材料的晶体结构,同时也可以显著改变其电子结构,为实现平带超导提供了一条潜在的新途径。
在该研究中,刘冰冰教授课题组与北京大学彭海琳教授课题组合作,通过对具有Se缺陷Bi2O2Se的平带电子结构进行压力调控,在27.2 GPa时,观察到了转变温度为 3.6 K的压力诱导超导现象。研究表明,Se缺陷的存在导致Bi2O2Se在常压下形成平带电子结构,导带中出现一个平带。在压力作用下,导带底部向上移动,色散减小,而平带特征保持不变。随着压力的增加,平带逐渐向费米能级移动,在~30 GPa时平带移至费米级附近,导致超导电性的出现。此外,Bi2O2Se费米能级上出现的范霍夫奇点以及明显的费米面嵌套,也在增强电子-声子相互作用方面发挥了关键作用。这些发现表明,压力为精确调控平带以及实现平带超导提供了一种新的实验策略。

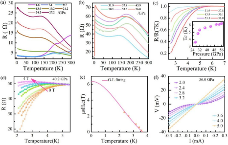
图1. (a,b) Bi2O2Se在1.6至56 GPa不同压力下的电阻与压力关系。(c)压力高于31.9 GPa时在低温区归一化电阻(R/R(7K))与温度关系。插图描述了超导电性起始温度与压力之间的关系。(d)在40.2 GPa下Bi2O2Se电阻-温度曲线随磁场的变化。(e)使用Ginzburg−Landau (GL)公式对Tc - H曲线的最佳拟合。(f) Tc附近不同温度下的V−I曲线。

图2. (a,b)分别为完美Bi2O2Se在0和30 GPa下的能带结构。(c) Bi2O2Se的EDX分析。(d) 4×4×2 Bi2O2Se超晶胞在0 GPa下的能带结构。(e-g)分别为含有Se空位的Bi2O2Se在0、15和30 GPa下的能带结构。(h) 30 GPa下含有Se空位的Bi2O2Se的PDOS。(i) Se原子在30 GPa下对费米表面的贡献。
北京大学彭海琳教授课题组在合作前期创制了全新高迁移率二维半导体芯片材料Bi2O2Se(Nature Nanotech. 2017, 12, 530),开发了二维半导体Bi2O2Se的超薄高κ自然氧化物栅介质Bi2SeO5,并研制了世界首例外延高κ栅介质集成型二维鳍式晶体管(Nature 2023, 616, 66),为本研究提供了高质量的Bi2O2Se晶体样品。
av网站
超硬材料国家重点实验室田辉博士、靳锡联教授、李晨一博士和北京大学涂腾博士为论文共同第一作者,通讯作者为av网站
超硬材料国家重点实验室的刘冰冰教授、李全军教授和北京大学彭海琳教授。该研究得到国家重点研发计划、国家自然科学基金等项目的资助支持。
论文全文链接://doi.org/10.1021/jacs.3c11984