av网站

科研动态

当前位置: av网站 > 科学研究 > 科研动态 > 正文

APL | av网站 丁战辉教授在“超宽带隙半导体B-C-N三元化合物”研究中获得新进展  

时间:2023-05-07 17:32:39 点击:

近日,av网站 丁战辉教授在“超宽带隙半导体B-C-N三元化合物”研究中获得新进展,相关研究论文以“Ternary B-C-N compounds layered materials with regulated electronic properties and ultrawide bandgaps”为题,于2023年5月4日发表于美国物理联合会(AIP)期刊《Applied Physics Letters》。该研究论文被编辑推荐为精选文章(editor’s pick),同时被选为AIP出版特色论文(Featured Article),在Scilight周刊以 “Advancing prospects in ultrawide bandgap semiconductor materials” 为题进行推介。Scilight是AIP出版的网络周刊,致力于挑选AIP发表的物理领域最新的、最具有代表性的文章,简要介绍其研究成果,并强调其在该领域的创新性和突破性。

超宽带隙半导体(UWBG, Eg>4.0 eV)具有高击穿场强、高饱和电子漂移速率和高导热率等优良物理性质,在航空航天、光存储等领域有重要应用。B-C-N三元化合物的半导体性质可以通过改变元素配比和晶格原子排列方式而进行有效调控。然而目前缺乏成分均匀、结晶性良好的B-C-N晶体材料,限制了其在UWBG器件方面的应用。因此,探索合成高质量的B-C-N晶体,对其带隙调控有重要意义。

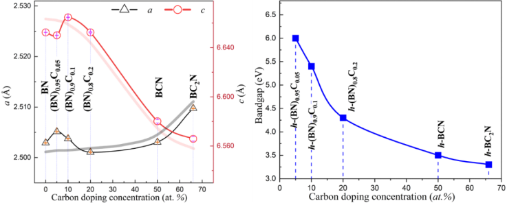
该研究工作通过高压合成方法制备出高度晶化的六方相B-C-N三元化合物层状材料,并通过改变碳掺杂浓度调控禁带宽度。研究发现,B-C-N化合物层状材料是由石墨烯插层进入C原子掺杂的h-BN层所形成。由于C原子在BN层中B和N原子位置的非平衡替代,导致层状B-C-N化合物呈现出n型导电特性。光学带隙测试结果表明, B-C-N化合物的光学带隙随着C掺杂量变化可在3.4 eV-6.0 eV范围内进行调控。该研究工作实现了对B-C-N化合物能带结构的有效调控,有望推动B-C-N化合物在UWBG半导体器件上的应用。

 

左图:B-C-N化合物的晶格常数随C掺杂量的变化;

右图:B-C-N化合物的禁带宽度随C含量的变化。

av网站 2020级硕士研究生徐保银为本文的第一作者,通讯作者为av网站 丁战辉教授和美国摩根州立大学蓝玉成教授。该工作得到av网站 超硬材料国家重点实验室马琰铭教授,王彦超教授,李红东教授,中科院上海硅酸盐研究所孙宜阳教授的大力支持,同时得到国家自然科学基金面上项目的资金支持。

论文全文链接:

Appl. Phys. Lett. 122, 182108 (2023);

//doi.org/10.1063/5.0139755

AIP Scilight链接:

AIP Scilight 2023, 181105-1;

//doi.org/10.1063/10.0019302